The BladeForums.com 2024 Traditional Knife is ready to order! See this thread for details:
https://www.bladeforums.com/threads/bladeforums-2024-traditional-knife.2003187/
Price is $300 $250 ea (shipped within CONUS). If you live outside the US, I will contact you after your order for extra shipping charges.
Order here: https://www.bladeforums.com/help/2024-traditional/ - Order as many as you like, we have plenty.
I've never had enough leather to use that in
testing. I've always used cardboard, as i have a virtually endless supply from the same source.
Was the previous structure pearlite or spheroidized?

How to attain superfine grain size ?
In order to achieve superfine grain size after hardening, initial austenite grain size shall be superfine and its growth shall be prevented during heating. Carbides, aluminium or vanadinium alloying can prevent grain growth. Initial austenite grain size depends on the previous microstructure.
It is generally accepted that normalized microstructure produces small enough initial austenite grain size. When normalized steel is hardened, grain size of about 0.01-0.02 mm can be attained. However, hardening two times can further reduce the grain size. Double hardening can produce grain size of about 0.005-0.01 mm. Multiple normalizing or more than two hardening cycles does not shange the situation.
The fact that double hardening produces finer grain size than normalizing and hardening is not very well known in metallurgical literature. But I have noticed it many times in my own laboratory tests; therefore, I am sure that it is a real fact. Thus, we can expect that double hardening improves toughness particularly with high hardness levels.
Lauri utilizes my finding in his double hardened blades (Lauri PT blades). At first, the blade is hardened and spring tempered, and after that, the cutting edge is rehardened. The blade won’t break due to relatively soft (50 HRC) spine, but also, due to double hardened edge it has exceptional fine grain size, and for that reason, it resists chipping despite of 63 HRC hardness. Here is a picture of my favorite model of Lauri’s double hardened blades. The faint line in the middle of the bevel is the line of the second hardening. It becomes visible during grinding because hardness difference.
View attachment 731006
Thanks for sharing good metallurgical info
IMHO/IME
per green-highlighted line: there are quite a bit of published research & lits on using particle (precip cementite in this case) to refine grain. Micro-alloy and other MC particles can help achieve grain dia to certain size, further refinement - one would need transient particles to nucleate prev-aust-grain. Your Lauri's example (btw - very nice blade), spring tempered = well distributed precip cementites which just large enough dia not to dissolve on 2nd aust, where they are pinning new grain (nucleation points/interfaces).
Here is my light/optical micrograph (1K negative) of W2 microstructure after 1 hardening. I also optimized on gb cleanliness(minimize precip/agg), thereby getting higher cohesion. 99% of my blade in low/no cr% steels have working hardness at 64+rc.
![]()
So, in unalloyed carbon steel majority of grain growth may take place withing 5 minutes. But with steel which have carbides, aluminium or vanadium micro-alloying, similar amount of grain growth may occur after several hours or days. With overhigh temperatures grain growth is faster.
This is a quote from post #18 by Juha.
I am certainly no metallurgist so please bear with my lameness and semi understanding.
That said I am always taken aback when I hear aluminum is an alloy in steel. Seems like it would just vaporize given the dif in melting point (alu ~1200°F) . . . I just looked up boiling point ~4400°F so that must be why. I'm still scratching my head though.
OK got that side trip out of the way. What I wanted to ask about the above quote:
You say grain growth may occur after several hours or days. Is this at elevated temp or at room temp ? I assume elevated but as I understand it changes in heat treated structural aluminum materials (e.g., 6061) can continue at room temp before stabilizing.
Thanks !
Juha, your thread was just what I needed on a lazy day off. Great stuff everyone who posted here.
64 HRC is impressive hardness. If you do not have chipping or breaking problems, you obviously have found a way to avoid brittle grain boundary fracture. The double hardening is not the only way to attain good toughness at high hardness levels.
About Lauri’s double hardening process. He uses 80CrV2 steel, which contain only 0.8% carbon. Thus, it is necessary to dissolve all cementite-carbides to attain high hardness, but the 80CrV2 steel contains about 0.2% vanadinium which binds 0.05% carbon into vanadinium carbides. The vanadinium carbides do not dissolve during hardening, they are very small and thus their number are large; therefore, they effectively prevent grain growth. The first hardening (spring tempering) is made in a furnace, and the second hardening i.e. the edge hardening is made by electricity (induction current). The induction heating lasts only a few seconds at about 900 C. Lauri's process control includes hardness measurement, grain size measurement of fracture surface, and torture test of the edge.
Hi Juha
would it not make sense to do both hardening steps with induction heater ? this would have a very quick heat up time to non-mag
i have an induction heater and heat up time is so short.. that i wonder if too much grain growth is even possible with this machine... (unless you massively overheat it ) but still there is relatively no hold time at the temp....
After the second heating, is the Lauri blade tempered again or is that left as unquenched martensite ??
there were posts on this forum about using triple quenching for steels like 52100 to make a very fine grain. ( heated in a forge )
if grain size is very small... does it reduced the amount of martensite that can be produced by a certain speed of quenchent ? i've tried the double and triple quench with shallow hardening steels and i found after a certain point that the steel didn't harden very well ... stayed somewhat softer
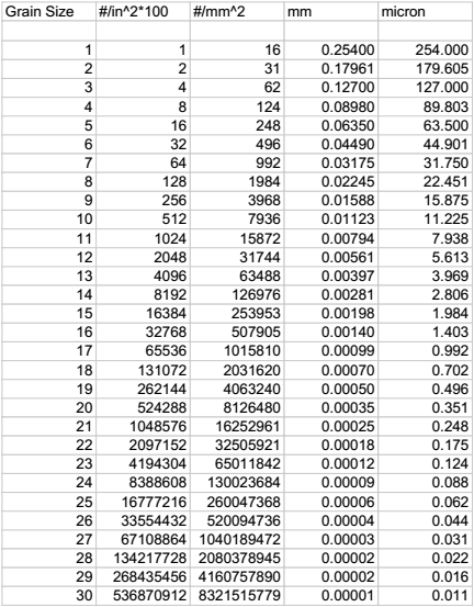
Is there a chart that will convert 1 to 10 fracture grain size to microns? an example, properly HT'd O1 will have a grain size of 9.5, what would that be in microns? ref is http://cintool.com/catalog/Oil_Hardening/O1.pdf
I would guess most tool steel would contain small amounts of aluminum as it is also added to remove free oxygen or "kill" the steel.
most folks don't realize that most of your powder stainless steels were designed for plastic production, and that the blades and knives talked about on manufacturer data sheets are the kind used to turn a bull into bologna or make mechanically separated chicken.
Is there a chart that will convert 1 to 10 fracture grain size to microns? an example, properly HT'd O1 will have a grain size of 9.5, what would that be in microns? ref is http://cintool.com/catalog/Oil_Hardening/O1.pdf
I would guess most tool steel would contain small amounts of aluminum as it is also added to remove free oxygen or "kill" the steel.
most folks don't realize that most of your powder stainless steels were designed for plastic production, and that the blades and knives talked about on manufacturer data sheets are the kind used to turn a bull into bologna or make mechanically separated chicken.
Just an fyi, fracture grain size and astm grain size, like blunt cut listed above, are not the same. Sheppard fracture grain size scale stops at 10, and is more qualitative, where as astm is definitely quantitative. Also, there is no guarantee that what you're seeing on fracture surfaces are actually the grains. Not all fractures follow grain boundaries.
Yes, the grain size seems to be around 5 micron, but it is difficult to see because martensite substructures are also visible.me2 - thanks for clarified the different between terms.
Twindog - thanks for sharing and plus you are more than just a steel junky... quite informed on metallurgy and accurate failure analysis on your new 5160 bowie poor performance due to coarse grain microstructure. I agree with your assessment however having difficult time to envision a ht recipe to produces a chippy 5160 at hardness below 60rc. Beside coarse grain, it probably has a major case of cementite precipitated in grain boundaries.
I got permission from O.J. to post micrograph of his O1 ht coupon #5. Just look carefully to see gb - those continuous path formed circumference with diameter between 4-6um.
![]()