Chris Reeve Green Beret Video Desrtuction Test Completed

Status
Not open for further replies.
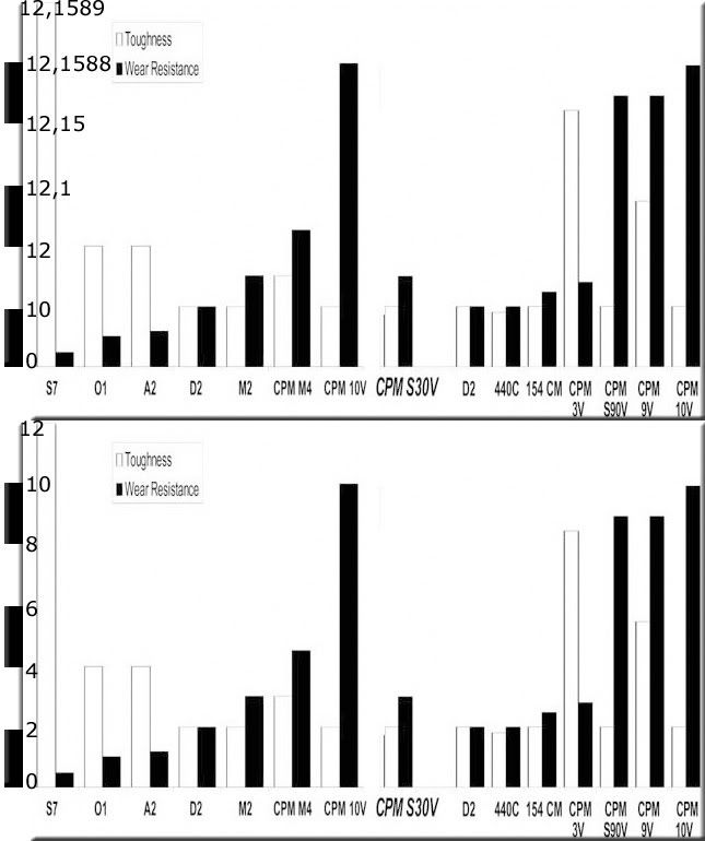
You didn't read my post, did you? Your first scaling is not linear, in fact it is highly non-linear.

However the numbers I have provided (you can find those by going through all data sheets. Also those numbers were also given by Ed Schempp at some time) show that the charpy-C notch toughness is approximately 5 times larger for S7 than for 440C (we are just talking about order of magnitude, there is no point in calculating that to the last digit). Column for the toughness of S7 is approximately 5 times larger than the one for 440C. Hence, the scaling must be pretty much linear and there can not be a significant offset.
 
Yup we are getting caught up in trivia...

To me here is what matters.

Strider sold and advertised a knife in S30V as being tough and suitable for hard use. Noss showed that is was!!

CRK sold and advertised a knife as being tough and suitable for hard use and it was NOT! According to both NOSS and Stamp. Independent informal tests showed the knife did not live up to its billing. This worth knowing and it DOES influence my desire to own a CRK GB.

A knife sold as be tough should be. Whats to argue with that?
 
Note though the the graph does not take into consideration heat treating which significantly impacts the numbers for some steels.

And I always assumed this was exactly the reason for not providing an exact scale on the axis. This is a qualitative comparison- a generality- showing how these steels can be expected to compare based on a general range of heat treatment that steel is designed for.

Timken-Latrobe also has a number of similar graphs that seem to agree-
http://www.timken.com/en-us/Knowledge/engineers/handbook/Pages/pdm032.aspx
Actually I have a .pdf saved from them with more/better comparisons, that also list the tested hardness. I can't seem to find it on their site now, but if anyone's interested feel free to email me for it.

(For steel junkies, they have a wealth of information on their site, including this document: Practical Data for Metallurgists
 
DaveH, HoB - that is the whole point. Without a scale, the chart (actually ANY chart) is worthless.

FYI "adjusted" scale is very often used to show "desirable results" for the sake of "clearness" for "average Joe". More often than not using charts without a scale indicates that the "results" were manipulated.
 
Well, I don't like the chart either, but there is no way getting around the fact that there are some steels that are far (multiple times) tougher than S30V.

Justabuyer: I am a bit surprised at your assessment of the Strider. It fared ok, but it didn't outperform knives a fraction of its price and was clearly outclassed by many other knives such as the Busse as well as the Scrapyard.
 
Well, I don't like the chart either, but there is no way getting around the fact that there are some steels that are far (multiple times) tougher than S30V.

Justabuyer: I am a bit surprised at your assessment of the Strider. It fared ok, but it didn't outperform knives a fraction of its price and was clearly outclassed by many other knives such as the Busse as well as the Scrapyard.

Hob I was not comparing it to those Busse knives. Just knives like the Strider made from the same steel and advertized the same way for the same purpose.

Neither the Strider nor the CRK GB did well compared to other Busse family knives as you noted. But the CRK and the Strider are both S30V, both nearly the same size, close to each other in price point, and target to the same people, for the same purposes, with nearly the same hype. Strider produced CRK did not. I think that is noteworthy.

The fact that they don't hold a candle to Busse products in the"Noss" tests is case study in the obvious. Not noteworthy at all.
 
Great points have been made by everyone. Must we beat this horse to a pulp? (sits back with popcorn)
 
Even if the scale starts with zero, it is not ENOUGH.

Can't you see a difference in these two? Only the scale is different, but the whole interpretation of the otherwise same chart is different...

scale.jpg

Such an alteration in scale would require an indicative break in the left hand border of the graph.
 
These threads are like strider threads, helps me determine who i need to add to my ignore list.
 
some of the Crucible charts have the steels labeled with the tested hardness, plus it is just as easy to search for charpy and wear resistance numbers on Crucible's site as it is to post about how they aren't on the graphs.
 
Would a better heat treat make the knife better ?

Yes a heat treat makes the blade.....poor heat treat=poor blade. Thats why companies have guys like Paul Bos that have there heat treat down pat and get the best out of the steel.

It may have been said previously in this post that the GB that was tested had a poor HT and that it could have been just a fluke.
 
Would a better heat treat make the knife better ?

Since the Strider and the GB started out as the exact same steel with the Strider later outperforming the GB in this test, I would think a different HT could have benefited the Reeves blade.
 
What is the thickness of the Strider that was tested? Is it thicker than the GB? That may be the case, and it would have made a significant difference. The Strider also had a much beefier saber grind than the GB. Noss also didn't have his routine down when he tested the Strider, and did a lot of easy stuff on it first. Once he got down to the tough stuff(hammering it with a steel mallet into something actually hard and tough), it failed pretty quickly. I don't feel the difference in the HT of the Strider vs. the GB are that significant.
 
your methods of testing are crude at best the knife passed all the armys teting requirements any knife being hit with a 3lb hammer will break even the titanium will fail eventually what ever you are trying to prove you failed.
 
your methods of testing are crude at best the knife passed all the armys teting requirements any knife being hit with a 3lb hammer will break even the titanium will fail eventually what ever you are trying to prove you failed.

I don't remember ever seeing or hearing anyone post about the "Military Specification" and the testing requirements sent out to various makers buy the DOD. Correct me if I'm wrong but individual units are not required to submit there knives to the DOD for testing.

If the DOD did actually "Test" these knives than perhaps someone can post the Specification and the test requirement. As well as a list of all those who submitted knives for evaluation.

Considering past DOD equipment tests I don't see this knife passing.
 
Status
Not open for further replies.
Back
Top